مؤمن عبد الستار

سر التكرار المتباعد

الجمعة، 31 أكتوبر 2025
جدول المحتويات

بسم الله الرحمن الرحيم، والصلاة والسلام على أشرف المرسلين، سيدنا محمد وعلى آله وصحبه أجمعين.. أما بعد..

فعلى مر العصور، قاس الكثير من العلماء نصف قطر الأرض، بدءا من تجربة إراتوستينيس الشهيرة عام 240 قبل الميلاد، ومرورا ببعض علماء المسلمين كالبيروني، ثم وصولا للعلماء في العصر الحديث، وفي النهاية تمكنا من قياس نصف قطر الأرض بمنتهى الدقة بفضل ما سخره الله لنا من أدوات وآلات، لنصل إلى نصف القطر الدقيق للأرض ألا وهو .....

مهلا، لماذا أخبرك؟ لماذا أخبرك بنصف قطر الأرض؟ لا فائدة من إخبارك! ستنساه في النهاية! إن أخبرتك ستتذكره اليوم.. ربما إن كانت ذاكرتك قوية ستتذكره غدا، لكن يستحيل أن أسألك عنه بعد 3 أو 4 أيام فأجدك لا زلت تذكره.. إذا ما الفائدة من أن أخبرك يا ضعيف الذاكرة أيها النسَّاي؟

إن أخبرتك به.. فماذا ستستفيد بعد أن تمحى المعلومة من ذاكرتك بعد أيام قليلة؟ لا شيء! لن تتقدم خطوة للأمام ما دمت ستنسى كل شيء تقرؤه! هل تريد دليلا؟ أخبرني عن اسم العالم الأول الذي أخبرتك أنه قاس نصف قطر الأرض عام 240 قبل الميلاد.. ماذا كان اسمه؟ لا تتذكر؟ هل نسيت بهذه السرعة؟!

أنت تنسى كل شيء وستنسى كل شيء وذاكرتك ذاكرة سمكية تنسى كل المعلومات في غمضة عين! لن أخبرك بنصف قطر الأرض أيها المخ النسَّاء! ولكني لن أردك خائبا بخفي حنين، وتعال أعلمك شيئا آخر يفيدك.. هل تريد أن تمتلك مهارة أن تتذكر أي معلومة تريدها... للأبد؟ إذا تابع معي واقرأ ما يلي:

الذاكرة الحديدية

إن امتلاك الذاكرة الحديدية التي لا تنسى شيئا للأبد فكرة مغرية! تخيل أن تكون مهندسا مثلا لا ينسى أي شيء مما يقرؤه في الكتب أو في الأوراق العلمية، ولا ينسى ما يتعلمه من مهارات التواصل والإقناع، سيكون هذا المهندس عبقريا! إذ سيكون قادرا على فهم أعقد الأوراق العلمية والكتب والمعادلات الرياضية، كما سيكون ماهرا في تواصله مع عملائه ومع عماله، وفي مهاراته في تنظيم ميزانية عمله، ومهاراته في الاستثمار وإيجاد الفرص، وغيرها من المهارات الجانبية التي تهم المهندس.

أما النسيان فهو ما يحبطنا، ويشعرنا بالكسل عن القراءة والمذاكرة والمطالعة. يقول الكثيرون منا في هذه الأيام «لماذا أذاكر إذا كنت في النهاية سأنسى ما أذاكره؟ ولماذا أقرأ الكتب إذا كنت في النهاية سأنسى ما قرأته؟ ولماذا أطالع الجديد إذا كنت في النهاية سأنسى ما طالعته؟». النسيان محبط، وأنا شعرت بهذا الشعور من قبل وأعلم صعوبته وألمه.

وقد شعر الشاعر محمد بن يسير من العصر العباسي بنفس هذا الشعور، إذ نراه في هذه الأبيات يتمنى لو أنه يتذكر كل ما يجمعه من علم، حتى يكون عالما مصقعا، فيقول:

أما لو أعِي كلَّ ما أسمَع
وأحفَظُ من ذاكَ ما أجمعُ
ولم أستَفِدْ غَيْرَ ما قد جمعتُ
لَقِيلَ هو العالِم المِصقَع

ولكن تأتي الرياح بما لا تشتهي السفن، فيشتكي الشاعر أنه ينجذب وينزع (يتشوق) إلى كل نوع من العلم، مما يجعله مشتتا غير قادر على تذكر كل ما يسمع، فنفسه تنساه مرارا وتكرارا.. وعلمه مدون ومجموع في الكراس والكتب، وليس محفوظا في قلبه.. فيقول:

ولكنَّ نفسي إلى كلّ نوعٍ
من العلم تسمعُه تنزِعُ
فلا أنا أحفظُ ما قد جمعتُ
ولا أنا مِن جَمعه أشبعُ
وأحصَر بالعِيِّ في مجلسي
وعِلميَ في الكُتْبِ مستودَعُ
فمن يكُ في علمِه هكذا
يكنْ دهرَهُ القهقَرَى يرجِعُ

ثم يختم الشاعر ببيت حكمة جميل أحب أن أقتبسه، فيقول إن العلم إذا كان مدونا في كتابك فليس له أي نفع، لأن العلم لا ينفع إلا إذا كنت تعيه وتحفظه في رأسك، فيقول:

إذا لم تكنْ حافظًا واعيًا
فجمعُك للكتبِ لا ينفع

لله در هذا الشاعر! لقد وصف شعوري أنا — الطبيب مؤمن — عندما أقرأ معلومة مهمة أو أسمعها من مدرس! أسمع المعلومة، فأجدها مهمة جدا، وأود لو أني أذكرها طوال حياتي، ولكني أشعر بالألم لأني أعلم تمام العلم أني سأنساها يوما ما، بسبب زحام ما أسمعه وأقرؤه من معلومات أخرى. ربما إن كتبتها في كراستي ستعيش في كراستي، لكنها لن تعيش طويلا في رأسي. هذه الحقيقة المؤلمة!

هل شعرت بهذا الشعور من قبل؟ هذا المقال يشرح لكم سرا يمكنكم من التحكم في ذاكرتكم طويلة المدى، بحيث تستطيع تذكر معلومة طوال حياتك بقرار من يدك دون أن تخشى نسيانها بإذن الله، وأعلم ما يدور في رأس الكثير الآن «مستحيل! مستحيييل أن تخبرني بطريقة أحفظ بها ما أريد طوال حياتي، لأنه إذا وجدت طريقة تصنع ذلك لكان الجميع استعملها ولصارت مشهورة للغاية! أو كما يقول المثل: لو كان فيه الخير ما تركه الطير!»، لكن اصبر معي حتى نهاية المقال وسأجيب لك عن هذه الإشكالية وأشرح لك لماذا هذه الطريقة ليست شائعة بين الناس.

منذ عرفت هذا السر وأنا أستخدمه في حفظ الطب، وحفظ القرآن، وحفظ الأذكار والأدعية، وحفظ ما أقرؤه في الكتب والمقالات، وحفظ معلومات شخصية عن حياتي لا أريد نسيانها..

سأقسم هذا المقال إلى قسمين: الأولى أشرح فيها أهمية الذاكرة طويلة المدى في حياتنا أيا كان عملنا (حتى بالنسبة لأولئك الذين يعملون بالهندسة والرياضيات ويظنون الحفظ غير مهم لهم)، ثم في الجزء الثاني أشرح لكم أنظمة الذاكرة وتقنية التكرار المتباعد للتحكم في تلك الذاكرة طويلة المدى، وأعدك أن هذا المقال — إن نفذت ما به — سيغير حياتك بالكامل، كما غير حياتي أنا شخصيا..

عرفان وتقدير

وقبل بدء مقالي، أريد أن أوجه الشكر والتقدير لمايكل نيلسن ومقالته التاريخية Augmenting long-term memory، المقالة التي غيرت حياتي وحيوات آخرين كثيرين (يوجد مدون يسمى نفسه «عبدو» ترجم المقال للغة العربية إن أردت قراءته باللغة العربية). هذا المقال ثوري بكل ما تحمله الكلمة من معنى! إن نفسي قبل قراءته ليست هي نفسي بعد قراءته، وأكاد أقول إن قراءته فرض عين على كل طالب علم في العصر الحديث!

وإن مقالي هذا الذي أؤلفه مستوحى من مقال مايكل نيلسن، ودمج بين تجربتي للتكرار المتباعد وتجربته، وانتقاد وتصحيح لبعض النقاط من وجهة نظري، وإضافة تجربتي كطبيب إلى تجربته كعالم.

الجزء الأول: ما أهمية الحفظ على أية حال؟

في الأحد الأفلام المصرية المسمى «الثلاثة يشتغلونها» تتعرض الطالبة المتفوقة نجيبة للاحتيال من ثلاث أشخاص.. يعرضها المخرج على أنها ساذجة، لكنها قادرة على حفظ جميع الكتب عن ظهر قلب.

يعرض المخرج لنا القصة على أن السبب في تعرضها للاحتيال أن الطالبة نجيبة تحفظ، وأن المهم الفهم وليس الحفظ، والمهم الإبداع وليس التقليد.. بعد أن تدرك البطلة هذه الفكرة، تعرض على تلاميذها أن يسافروا للأهرامات ويروا الآثار بأنفسهم حتى تعلمهم التاريخ، كأن هذه هي الطريقة الوحيدة حتى يفهموا التاريخ، أو كأننا إن أردنا تعليمهم جغرافيا البحر الأحمر علينا أخذ سفينة وأن نستكشف البحر حتى يروه بأنفسهم، وإن أردنا تعليمهم الفيزياء النووية علينا أخذهم إلى مفاعل نووي حقيقي حتى يروا الانشطار النووي بأم أعينهم، وإن لم نفعل هذا فإننا نجعلهم يحفظون دون فهم ونسيء التعليم..

هذا الفلم —كغيره من الأفلام المصرية— أكرهه من كل قلبي.. لأنه رسخ في ثقافتنا فكرة فاسدة، تؤثر على الطلاب إلى اليوم. لقد ترسخ في أذهان كثير من طلاب العلم أن «الحفظ ليس مهما، المهم هو الفهم» وأن «الحفظ تقليد أعمى والفهم إبداع وإدراك». هذه الفكرة تنفر الطلاب من مجالات علمية كثيرة تحتاج للكثير من المعلومات لحفظها، مثل الكيمياء الحيوية أو الطب أو غيرها، رغم الأهمية الشديدة لتلك العلوم. ولعلك أيها القارئ متأثر بهذه الفكرة وتظن نفس الظن، ولكن دعني أحاول تغيير وجهة نظرك في هذه القضية. لأشرح لك أهمية الحفظ، سنجري تجارب فكرية هنا في مقالنا، هل أنت مستعد؟

التجربة الأولى: عمليات حساب

ما مجموع خمسة وسبعة؟ ... ها؟ هل أجبت «اثنى عشر»؟ صح! ولكن فكر معي، كيف أتيت بهذه الإجابة؟ هل قلت مثل ما كنا نفعل في الطفولة ونعد على أصابعنا «سبعة، ثمانية، تسعة، عشرة، أحد عشر، اثنى عشر»؟ بالتأكيد لا! لقد أجبت عن السؤال مباشرة، وكيف كان ذلك؟ ذلك لأنك حفظت هذه العملية الحسابية، لكثرة ما أجريتها طوال حياتك. لقد حفظت يا عزيزي القارئ أن خمسة زائد سبعة تساوي اثنى عشر!

تعال نجرب ثانية، ما حاصل ضرب ستة في ثلاثة؟ ... ها؟ ثمانية عشر؟ صح! وللمرة الثانية، لقد أجبت مباشرة دون أن تجمع الستة مرات ثلاثة، وذلك لأنك حفظت جدول الضرب الذي حفظناه في طفولتنا، وبذلنا جهدا من أجل إتقان حفظه..

هنا نأتي للسؤال: تخيل أننا لم نحفظ عمليات الجمع ولم نحفظ جدول الضرب، وحاول مدرس الرياضيات أن يفهمنا حل معادلة من الدرجة الأولى، هل سيستطيع؟ مستحيل! إن حفظنا لهذه المعلومات الأساسية كان ضروريا حتى نفهم المعلومات الأكثر تعقيدا!

تعال نخض التجربة الثانية، ثم سأشرح لك بالتفصيل ما أقصد!

التجربة الثانية: قراءة جملة إنجليزية

اقرأ معي الجملة التالية:

The quick brown fox jumps over the lazy dog

ما رأيك في هذه الجملة؟ كلماتها بسيطة، أليس كذلك؟

تخيل أنه قيل لنا في الطفولة «ما أهمية الحفظ على كل حال؟! هذه الكلمات موجودة في الكتب، المهم هو الفهم وليس الحفظ.» الآن.. هذا الطالب تأثر بهذا الكلام، ولم يحفظ كلمات مثل quick وbrown وfox وjumps وover وlazy وdog، إذ ما أهمية الحفظ على كل حال إذا كانت الكلمات موجودة في الكتاب وأستطيع العودة لها؟ الآن.. هل سيستطيع فهم الجملة؟

ربما سيستطيع عبر البحث عن معنى كل كلمة على حدة، وسيبذل مجهودا كبيرا في فهم جملة نفهمها — أغلبنا — في غمضة عين! وحتى لو بحث عن كل كلمة سواجه صعوبة في جمع ما بحث عنه في صورة واحدة وفهم الجملة ككل.

فإن لم يحفظ الكلمات لم يقدر على فهم الجمل، فإن لم يفهم الجمل لم يحفظها، فإن لم يحفظ الجمل لم يفهم الفقرات، فإن لم يفهم الفقرات لم يحفظها، وهلم جرا حتى تجد هذا الطالب المهووس بالفهم دون الحفظ قد صار خاوي العقل لم يتعلم شيئا!

التجربة الثالثة: كتابة مقال

هل تشاهد برنامج الدحيح أو غيرها من برامج العلوم المبسطة؟ أظنك تفهم فيديوهاتهم جيدا، أليس كذلك؟ جميل!

افتح تاريخ اليوتيوب، وهات فيديو شاهدته منذ شهر وفهمته جيدا.. الآن حاول كتابة مقال تلخص فيه ما فهمته من الحلقة.

هل ورقتك فارغة؟ هل تبخر كل شيء شاهدته من تلك الحلقة؟

الآن جرب مشاهدة الحلقة مجددا، هل تشعر أن الكثير من المعلومات الشيقة صرت تذكرها الآن؟ لماذا لم تذكرها قبل إعادة المشاهدة؟ غريب! رغم أنك فهمت الحلقة جيدا عندما شاهدتها كما أنها كانت ممتعة!

أهمية بناء الذاكرة

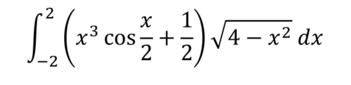
يشرح مايكل نيلسن كيف أن الكثير من الطلاب يقللون من أهمية الحفظ، مما يجعلهم غير قادرين على تطوير أنفسهم.. انظر للمعادلة التالية يا عزيزي القارئ:

صورة معادلة رياضية

ما رأيك؟ الكثير يرونها معادلة رياضية معقدة لا يمكن أن يفهمها سوى عباقرة الرياضيات. ولكني —ومايكل نيلسن— نراها بطريقة أخرى! بنفس مبدأ أن الطالب الذي لم يحفظ كلمات لم يكن قادرا على فهم جملة نراها بسيطة وسهلة الفهم، فإن هذه المعادلة جملة. كل ما في الأمر أن الرياضيين قد تشربوا الكثير من أمثال هذه المعادلات (الكلمات) حتى حفظوها عن ظهر قلب، مما يجعل فهم الجملة أمرا بسيطا. أما نحن —الذين لم نحفظ الكثير من الكلمات— غير قادرين على فهم هذه الجملة وحلها.

فالفرق بيننا وبين من يفهمون هذه المعادلة ليس في معدل الذكاء، ولكن في المعرفة التي بناها هؤلاء وحفظوها، مما يجعلهم قادرين على فهم معلومات أعقد مما نستطيع نحن. قارن هذه أيضا بعمليتي الجمع والضرب التي كنا نجريها بدون تعب بينما يجريها الطفل وهو يعد على أصابع يده.

حتى ولو بذلنا جهدا في فهم هذه المعادلة وفهمناها جيدا فلن نستفيد شيئا إن لم يبق ما تعلمناه في ذاكرتنا طويلة المدى. إن ذاكرتنا طويلة المدى هي مصدر إبداعنا وأفكارنا ومبتدأ تعلمنا. يشبه مايكل نيلسن من يحاولون الإبداع وفهم معرفة أعقد دون حفظ السابق بمن يحاولون تأليف قصيدة فرنسية جميلة وهم لا يعلمون سوى 200 كلمة في اللغة الفرنسية. سيشكو أولئك من صعوبة التأليف وإيجاد الصور المبدعة أو كتابة عبارات جذابة، ولكن المشكلة في الأساس هي أنهم يحاولون تأليف القصيدة وهم لا يعلمون سوى 200 كلمة.

فكر في حلقة اليوتيوب التي تكاد لا تذكر أي شيء منها! إن كنت لا تذكر أي شيء منها، فلماذا شعرت بشعور استفادة زائف عندما شاهدتها؟ والسؤال الأهم، إن كنت لا تذكر أي شيء منها، فهل طورتك تلك الحلقة أم أنك نفس الشخص ولا زلت عند نقطة الصفر؟ هل تغير مكانك أم أنت عند نفس ذات المكان؟

تخيل شخصا لم يحفظ أي شيء عن أسماء المواد الكيميائية وتفاعلاتها الأساسية فيل الخلية، ويحاول قراءة مقال في مجال الكيمياء الحيوية، كيف سيكون حاله؟ سيحتاج إلى فتح النت والبحث عن معنى كل مصطلح وكل اسم مادة وكل اسم تفاعل، كما ستكون كل جملة في تلك المقال عذابا، تماما مثل الطفل الذي كان يحاول قراءة الجملة الإنجليزية بالأعلى، وحتى بعد أن يبذل جهدا في فهم كل كلمة فإنه سيواجه صعوبة في جمع ما بحث عنه وتعلمه حتى يفهم الجمل كاملة ويتابع الخط الفكري للمقال!

الذاكرات الخارجية

وهنا نشرح نقطة مهمة، فالكثيرون يعتمدون على الذاكرات الخارجية، كجوجل والهاتف والحاسوب والكراسة والدفتر والكتاب. هذه كلها أدوات لحفظ المعلومات خارج الدماغ بدلا من بذل جهد في حفظها في الدماغ. أليست الذاكرة الخارجية بديلا مناسبا لذاكرتنا الداخلية؟

والإجابة: إن الذاكرة الخارجية قد تفيد في حفظ معلومات معينة ليس لها الأولوية لحفظها.

مثلا: أنا كطبيب يمكن أن أحفظ سؤالين لفحص كون المريض مكتئبا (والمسمى PHQ-2)، أو أن أحفظ الاستبيان الأكبر المكون من تسعة أسئلة والمستخدم في تقييم حالة المريض من حيث كونه يعاني من الاكتئاب أم لا (والمسمى PHQ-9)، لكن حفظ تلك الأسئلة سيتطلب مجهودا يمكن أن أبذله في حفظ معلومات أخرى ترتبط بالكثير من المعلومات الطبية، مما يساعدني في تطوير ذاتي.

في هذه الحالة، سأكتفي بحفظ السؤالين PHQ-2، وأستخدمهما في الفحص السريع للمرضى من حيث وجود اكتئاب، وسأفضل وضع تلك الأسئلة التسعة الأخرى في ذاكرة خارجية، لأقضي وقتي في حفظ معلومات أخرى أهم منها. السؤالان الذان حفظتهما سيؤديان الغرض في أغلب المرضى، لأن أغلب المرضي غير مصابين بالاكتئاب..

أما الإفراط في استعمال الذاكرة الخارجية لتخزين كل شيء كارثي! لأنه يجعل دماغك فارغا غير قادر على استيعاب وفهم معلومات أعقد. تخيل أن تقرأ قصيدة جاهلية وأنت لا تعلم إلا القليل من مفرداتها، ربما تستعين بالشرح أو المعجم (ذاكرات خارجية) حتى تفهم معاني الكلمات، لكنك لن تستطيع غالبا فهم القصيدة أو البيت ككل، فوجود فاصل بين قراءتك للبيت وفهمك لك يحول بينك وبين استشعار جمال القصيدة..

يشبه مايكل نيلسن قراءة موضوع مع الاستعانة بذاكرة خارجية بآلة ناي فيها «تأخر ثانية واحدة بين نفخ النوتة وسماعها!». العزف على هذا الناي سيكون صعبا وسخيفا، ولن يكون العازف قادرا على الإبداع. كذلك حفظ المعلومات في دماغك وقدرتك على استحضارها فورا دون الاستعانة بورق خارجي، وامتلاك فهم داخلي لها يمنحك القدرة على اكتشاف روابط جديدة بسرعة، وملاحظة أنماط لم تكن ستلاحظها إذا كانت معلوماتك مخزنة في ذاكرة خارجية.

شخصيا، لقد جربت صعوبة كتابة الكود (البرمجة) دون حفظ. عندما أكتب أي كود، عادة ما أتردد على محركات البحث سائلا «كيف أقرأ ملفا في بايثون» «كيف أحذف عنصرا من قائمة في جافاسكريبت» «كيف أنشئ فئة في جافاسكريبت»، وغيرها من الأسئلة التي كنت سأوفر وقتها للبرمجة لو أني أحفظها. أشعر أني كنت سأنتهي من مشاريعي التي أكتبها (كهواية) في نصف أو ربع الوقت لو أني أحفظ الكود.

الاستنتاج

فبناء ذاكرتنا طويلة المدى ضروري حتى نزيد من عمق فهمنا لمجالاتنا، ولإثراء عقولنا وتطويرها. إن نسيت معلومة، فقد عدت لنقطة البداية! ذاكرتك طويلة المدى هي مستودع أفكارك ومعلوماتك، الذي ستحاول من خلاله فهم معلومات جديدة وربطها بما تعلمه في البداية. إن لم تقدر الحفظ ولم تعلم قيمته، فأنت مخدوع!

ولهذا، فبدلا من التقليل من أهمية الحفظ والشكوى من صعوبته، أو الشكوى من نسيان ما تقرأ وما تشاهد، ما رأيك أن نتحكم في ذاكرتنا طويلة المدى، بحيث نكون قادرين على تذكر أي معلومة بقرار من أيدينا بإذن الله؟ أليس هذا هو الحل الأفضل؟

الجزء الثاني أنظمة الذاكرة

في عام 1885 أجرى عالم النفس الألماني هيرمان إبنجهاوس تجربة ليتعلم أكثر عن النسيان عند البشر، حيث حفظ العديد من الكلمات التي لا معنى لها، واكتشف منحنى النسيان، حيث وجد أنه في أول يوم ينسى أغلب الكلمات، ثم مع مرور عدة أيام يتفلطح منحنى النسيان ويتباطأ..

منحنى النسيان

لكن منحنى النسيان ليس ثابتا لكل المعلومات، مثلا: في معلومة مثل كلمة لا معنى لها، يكون منحنى النسيان حادا، أي ستنساها بسرعة شديدة، أما في حالة معلومة مفيدة لعملك أو دراستك، فمنحنى النسيان يكون أكثر تسطحا، أي أنك تحتاج لوقت أطول حتى تنساها، لكنك ستنساها في النهاية.. هيرمان إبنجهاوس درس النسيان، ولم يأخذ الخطوة (التي تبدو واضحة) التالية وهي دراسة تأثير الاختبار على منحنى النسيان. كانت هذه من أعمال بيوتر ووزنياك في اختباراته لاكتشاف خوارزمية Supermemo.

الاستدعاء النشط

هنا يأتي دور الاستدعاء النشط Active recall وهو ما يمنعك من نسيان معلومة. عندما تستدعي معلومة من ذاكرتك استدعاءً نشطًا (مثلا: يسألك عنها أحدهم، فتحاول تذكر المعلومة) فإن دماغك يبذل جهدا لاستعادتها، وبالتالي يعدها معلومة مهمة لك، فيحفظها في ذاكرتك لفترة أطول..

إنها آلية خلقها الله لنا حتى ننسى المعلومات غير المهمة، ونحفظ المعلومات المهمة، مثلا: ربما لا تذكر ماذا أكلت منذ يومين في الغداء، لكنك تذكر جيدا جدول الضرب الذي تعلمته منذ سنين. ذلك لأن ما أكلته منذ يومين معلومة لم تحاول استدعاءها أبدا، فاعتبرها مخك معلومة غير مهمة وتخلص منها، بينما جدول الضرب نستعمله كثيرا في حساباتنا اليومية، فاعتبره المخ معلومة مهمة واحتفظ به.

التكرار المتباعد

لاحظ الآتي في الصورة: بعد الاختبار الأول يعود احتمال التذكر إلى 100%، ويتفلطح منحنى النسيان قليلا، فيصير الوقت اللازم لنسيان المعلومة أطول، أي أننا لسنا بحاجة لمراجعة المعلومة إلا بعد وقت أطول «في هذه الحالة: بعد يومين»، ثم نحتاج الاختبار الثالث بعد أربع أيام. هذه الظاهرة نسميها التكرار المتباعد Spaced Repitition.

لاحظ أن تفلطح منحنى النسيان يحدث مع الاستدعاء النشط Active recall، ولا يحدث مع الاستدعاء البليد Passive recall. دعني أشرح الفرق:

في الاستدعاء النشط، يبذل المخ مجهودا من أجل استعادة المعلومة من الذاكرة، مثل طفل تسأله عن حاصل ضرب ثلاثة في ستة، فيحاول المخ استعادة المعلومة وإيجاد الجواب. في الاستدعاء البليد، يقرأ المخ نفس المعلومة مجددا أو يشاهدها دون بذل مجهود في استدعائها، مثل طفل يعيد قراءة جدول الضرب ويظن أن إعادة القراءة ستجعله يحفظ المعلومة، ولكن هذا النوع من الاستدعاء في الحقيقة استدعاء بليد لا يتضمن أي مشقة في استخراج المعلومة من الذاكرة..

الاستدعاء النشط
الاستدعاء النشط عبر حل سؤال يثبت المعلومة لفترة أطول من الاستدعاء البليد كإعادة قراءة الدرس أو تظليل كلماته

ولهذا فإن المثل العامي «التكرار يعلم الشطار» وهنا الشطار في الاستخدام العامي معناها الحاذقون أو الماهرون، هذا المثل ناقص! لأن التكرار البليد (إعادة القراءة دون بذل مجهود، أو تظليل الكلمات أو وضع خط فوقها وتحتها) لا يعلم أي أحد! بينما الاستدعاء النشط —الاستدعاء الذي يتطلب بعض المشقة في استخراج المعلومة— هو من يعلم «الشطار»!

كيف يمكن أن يفيدنا الحفظ حتى في دراسة الرياضيات؟
يجعلنا قادرين على فهم معلومات أكثر تعقيدا وتطوير أنفسنا.
ماذا اكتشف هيرمان إبنهاوس عام 1855؟
منحنى النسيان
كيف يشبه نيلسن من يقرأ مقالا في مجال معتمدا على ذاكرة خارجية؟
يشبهه بآلة ناي فيها تأخر ثانية واحدة بين نفخ النوتة وسماعها.
ما الاستدعاء النشط؟
محاولة المخ استدعاء معلومة من الذاكرة دون وجودها أمامه.
كيف يؤثر الاستدعاء النشط على منحنى النسيان؟

يعيد احتمال التذكر إلى 100% ويجعل المنحنى أكثر تفلطحا

التكرار المتباعد

فإذا أردنا أن تعلق المعلومة في ذاكرتنا طويلة المدى دون أن ننساها على الإطلاق، فإن علينا مراجعتها (بالاستدعاء النشط) بعد يوم، ثم بعد يومين، ثم بعد أيام ثمانية، ثم بعد أيام ستة عشر، وهلم جرا حتى نموت. إن راجعنا المعلومة مبكرا (بعدها بدقائق) فلن تعلق لأن المخ لم يبذل مجهودا في استدعائها، وإذا راجعناها متأخرا (بعد نسيانها تماما) فلن نستفيد أيضا لأن المخ قد حذفها من الذاكرة وسنعود لنقطة البداية. إذا كيف ننظم هذه المراجعات دون إفراط أو تفريط؟ نريد حلا عمليا متكاملا يطبق طريقة التكرار المتباعد والاستدعاء النشط بكل تفاصيلهما.

أنكي

هنا يأتي دور أنكي أو Anki. برنامج أنكي دوره تنظيم المراجعات بحيث يضمن أن تبقى في ذاكرتك وألا تنساها. تعال نتعلم هذا البرنامج خطوة بخطوة:

برنامج أنكي عبارة عن برنامج تنظيم بطاقات استذكار، في أحد أوجه البطاقة، تضع سؤالا:

سؤال أنكي

وفي الوجه الآخر تضع الإجابة:

إجابة أنكي

بعد أن أجيب، سيجدول لي أنكي معاد المراجعة التالية لهذا السؤال بناء على تقييمي لنفسي. مثلا: إذا رأيتَ الصورة، فأنكي يخبرني أني سأراجع السؤال مجددا بعد خمسة أشهر إن كانت إجابتي صحيحة (جيد)، بينما سأراجعها بعد عشر دقائق إن كانت إجابتي خاطئة (مجددا). تتباعد فترات المراجعة شيئا فشيئا، مثلا: بعد المراجعة الأولى، سيطلب منك المراجعة بعد يومين، ثم 6 أيام، ثم 14 يوما وهلم جرا..

أنكي يجمع لك أخطاءك ويوفر لك وقتك

عندما ترى الصورة السابقة قد تتساءل، لماذا المراجعة التالية بعد 5 أشهر في حالة الإجابة الصحيحة، وعشر دقائق في حالة الإجابة الخاطئة، أليس الفرق شاسعا؟

والسبب هو أن أنكي يعتبر البطاقة التي أجبتها بشكل خاطئ كأنها جديدة، فيعيد تعليمها لك من جديد ويرسم لها منحنى نسيان جديد، لأن الإجابة الخاطئة تعني أن المعلومة محيت تماما من الذاكرة.

وبهذا يعمل أنكي كجامع أخطاء، إذ يكتشف الخلل أو المعلومات التي نسيتها ويعيدها لك أكثر، ويحجب عنك المعلومات التي ثبتت في ذاكرتك ولا تحتاج لمراجعتها، فيوفر لك وقتك.

التكرار المتباعد

إذا: أنكي يضمن لك هذا المنحنى لكل معلومة تريد حفظها، ولكن عن ماذا يجب أن تكون البطاقات؟ الإجابة: كل شيء! لقد صرت أستعمل أنكي في حفظ كل شيء لا أريد نسيانه، حفظت به الطب ولاحظت تحسنا كبيرا — والحمد لله — في مستواي في الطب بعد الانتظام في استعماله، وحفظت به أدعية وأذكارا، وحفظت به ما أقرؤه في المقالات والكتب أو شاهدته على اليوتيوب ولا أريد نسيانه، وحفظت به القرآن (وسآتي لنقطة القرآن هذه لاحقا في جزء مستقل)، كما أحفظ به دروسا تعلمتها من أيامي ولا أريد نسيانها. كل ما عليك أن تضيف ما تريد حفظه على هيئة سؤال وإجابة، وأن تراجع البطاقة عندما يطلب منك أنكي هذا..

إذا كان مجالك رياضيا فلا تخجل من استعمال أنكي في حفظ الخطوات الرياضية؛ عندما تقرأ حل مسألة وترى خطوة في الحل غريبة عليك، فلا بأس أن تضع تلك الخطوة في بطاقة حتى تحفظها، وحتى تستعملها في حل مسائل أخرى. حتى الرياضيات والحساب بها مقدار من الحفظ، مثلما أثبت لك بالأعلى أننا نحفظ عمليات الجمع وجدول الضرب.

عادة ما أستعمل الحاسوب في إضافة بطاقات جديدة (لسهولة الكتابة على لوحة المفاتيح)، بينما أستعمل هاتفي الذكي في المراجعة لسهولة حمله في كل مكان، مما يسمح لي بمراجعة البطاقات القديمة في أوقات الانتظار والمواصلات وبعد الاستيقاظ أو قبل النوم ونحو ذلك، مما جعلني أستفيد من تلك الأوقات الضائعة غالبا. (لاحظ: أنكي لأجهزة الأندرويد مجاني، بينما لأجهزة IOS ثمنه 25$. مبيعات التطبيق لأجهزة IOS تعد الممول الرئيس لتطوير التطبيق وتحديثه على المنصات الأخرى، لهذا يرفض مطورو البرنامج جعله مجانيا لأجهزة IOS)

قبل أنكي، كانت ذاكرتي تعتمد على الحظ، فبعد أن أسمع معلومة أو أقرأها ثمَّ احتمال أن أتذكرها بعد مدة، وثم احتمال أكبر ألا أذكرها. أنكي نظام ذاكرة يحول ذاكرتي طويلة المدى من الحظ والعشوائية إلى قرار يمكن التحكم فيه..

تذكر دائما الهدف من أنكي

هدف أنكي توفير وقتك. هذا الهدف الأساسي. إن لم تحقق هذا الهدف أثناء استخدامه فاعلم أنك لست على الطريق الصحيح.

سأشرح لك: تخيل أنك علمت معنى كلمة إنجليزية؛

  1. إن لم تحفظ الكلمة ستبحث عن معناها كل مرة تراها وستضيع وقتك.
  2. إن حفظت الكلمة فهنيئا، ولكن إن راجعتها في كل يوم مثلا فأنت تضيع الوقت في المراجعة لأن الكلمة ثبتت بالفعل، فتقيد قدرتك عل حفظ كلمات أخرى.

الطريقة الصحيحة الوحيدة لمراجعة الكلمة دون نسيان معنى الكلمة وفي ذات الوقت دون تضييع وقت المراجعة هو أن تراجع الكلمة عندما تكون على وشك نسيانها، وهذا ما يفعله لك أنكي، إذ يراجع معك معنى الكلمة عندما تكون على وشك نسيانها، فيمنع ضياع الوقت بسبب النسيان ويمنع أيضا ضياع الوقت بسبب المراجعة المبالغة.

هدف أنكي توفير وقتك. إن لم تحقق هذا الهدف أثناء استخدامه فاعلم أنك لست على الطريق الصحيح.

احترس من التالي:

  • أنكي يجب أن يصير عادة يومية، بمعنى أنك إن فتحت أنكي يوما، وأضفت بضع بطاقات قليلة، ولم تنتظم في فتحه ومراجعة البطاقات القديمة وإضافة أسئلة جديدة، فإن أنكي لن يؤثر عليك ولن يغني ذاكرتك طويلة المدى. تحتاج أن تحوله إلى عادة يومية لا تنكسر، ولا بأس إن فوت يوما أو يومين، ولكن هجرانه يعني أنك ستعود لنقطة الصفر..
  • توجد الكثير من الأخطاء التي يرتكبها المبتدئون عند استعمال أنكي، وأنا من ضمن من ارتكب مثل تلك الأخطاء. في الواقع، لقد كنت أعرف أنكي منذ أربعة أعوام، وجربت استعماله، ثم استسلمت وتركته. كان السبب أني وجدته غير فعال. عندما عدت لأنكي هذا العام بعد قراءتي مقال نيلسن ونظرت لبطاقاتي التي صنعتها منذ أربعة أعوام اكتشفت الحقيقة؛ إني كنت أصنع بطاقات سيئة غير فعالة، ولم أتعلم استعماله وصناعة بطاقات مجدية.

القوة العظيمة تجلب مسئولية عظيمة

تلك الجملة التي يذكرها الأبطال الخارقون في الأفلام تنطبق هنا. إن كان أنكي سيعطيك قوة خارقة بحيث تتذكر أي معلومة فهو سيعطيك أيضا مسئولية عظيمة تجاه ذاكرتك. إن لم تستخدم هذه القوة تجاه المعلومات المهمة ستجد نفسك تحفظ الكثير من الحقائق التافهة التي لا طائل من حفظها.

ولهذا كن حذرا عندما تقرر حفظ معلومة بأنكي. المعلومة التافهة ستأخذ الكثير من وقتك في المراجعة دون عائد حقيقي.

أجرى نيلسن حسابات ووجد أن البطاقة تستغرق نحو 10 دقائق من المراجعة إن جمعنا كل أوقات المراجعة طوال العمر، بهذا إذا كنت ترى أن المعلومة تستحق 10 دقائق من المراجعة من عمرك ضعها في بطاقة، في غير ذلك لا تضعها. (لاحظ: حسابات نيلسن مبنية على خوارزمية SM-2 القديمة، التي يوجد اتجاه بين المطورين باستبدال FSRS الجديدة بها، لهذا قد تكون حساباته غير دقيقة في يومنا هذا.)

كتبت مقالا يشرح كيف تقسم البطاقات حسب الأولوية، بحيث تعطي لكل بطاقة وقتا بحسب أهميتها.

ما الهدف من أنكي؟
توفير الوقت عن تقليل عدد المراجعات المطلوبة.
ماذا يفعل أنكي مع البطاقات التي تجيبها صحيحا؟
يجدول لها مراجعة بعد مدة أبعد (تكرار متباعد).
ماذا يفعل أنكي مع البطاقات التي تجيبها خطأ؟
يعيد تعليمها لك (كأنها جديدة).
أنكي يعطيك قوة التحكم في ذاكرتك، وفي مقابل ذلك يرفع من مسئوليتك تجاه .......................
نوع المعلومات التي تختار حفظها

سر عدم انتشار استعمال أنكي

وهنا نأتي للإشكالية التي طرحتها مسبقا «إذا كان أنكي يجعلك تتذكر أي معلومة للأبد، فلماذا استعماله ليس شديد الانتشار؟ أو كما يقولون: إن كان فيه الخير ما تركه الطير!». يقول مايكل نيلسن:

إذا كانت أنظمة الذاكرة الشخصية عظيمة جدا، لم ليست مستخدمة بشكل واسع؟ يشبه هذا السؤال النكتة القديمة حول عالمي اقتصاد كانا يمشيان في الشارع، ثم رأى أحدهما ورقة 20$. قال: «انظر! هناك 20$ على الأرض!» يرد الآخر: «مستحيل! إذا كانت هنا فعلا، كان سيلتقطها أحد ما من قبل.»

التشبيه جزئي. يبدو أنكي كمزود دائم لأوراق 20$ ملقاة على الأرض. ومن المنطقي سؤال لم ليس مستخدما بشكل أوسع. واحدة من أكثر الأوراق اقتباسا هي نقاش حول سبب عدم انتشار هذه الأفكار في التعليم. تبقى كثير من ملاحظات الورقة صحيحة اليوم مع أنها كتبت سنة 1988.

لكن السر في عدم انتشار أنكي والتكرار المباعد يعود في الغالب إلى سببين:

  1. الأول هو صعوبة استعمال أنكي بالطريقة الصحيحة، وسهولة إساءة استعمال أنكي، وصناعة بطاقات غير مجدية، كما فعلت أنا منذ أربعة أعوام، مما يجعل المتعلم يتوهم أن أنكي نظام غير مفيد أو غير مجد.
  2. والثاني هو أن الأمر يتطلب مشقة وجهدا. كما أخبرتك، يثبت المخ المعلومة إن بذل المشقة في استدعائها، وبالتالي فإن أنكي يطلب منك بذل هذه المشقة كل يوم في مراجعة معلومات قديمة. الاستعداد لبذل هذه المشقة يوميا يحتاج إرادة وعزيمة ليست موجودة عند كل الناس.

لهذا يجب التنويه للآتي: أنكي لن يجعل الحفظ بلا مشقة! الكثيرون عندما يقرءون عن أنكي يظنونه برنامجا سيجعل الحفظ ليس بحاجة إلى أي مجهود، وهذا الظن خاطئ، مما يجعلهم ينسحبون من استعماله بسرعة. أنكي بالتأكيد يوفر الكثير من الوقت والجهد، لكن أهم ما يفعله أنكي هو تنظيم ذاكرتك، فتصير منظمة ومرتبة وغير معتمدة على العشوائية والحظ. لهذا فإن كنت غير مستعد لبذل جهدك في التعلم فأنا آسف على تخييب ظنك..

وإن كنت من نوع الناس الذين يحبون بذل المشقة من أجل التعلم، فأنت لا زلت معرضا لعدم استعمال أنكي إذا لم تستخدمه على النحو الصحيح. فيما يلي، سأعرض لكم ما استنتجته في صناعة بطاقات أنكي، وسأعرض لكم نصائح من مايكل نيلسن، حتى تكون قادرا على صناعة بطاقات جيدة من البداية إن شاء الله..

نصائح لصناعة بطاقات جيدة في أنكي

لا تحفظ معلومة قبل فهمها جيدا

صياغتك للمعلومة بألفاظك دليل فهمك لها، وعدم مقدرتك أن تصوغها بألفاظك دليل عدم فهمك مهما أوهمت لك نفسك أنك فهمتها، لأنه لا مشاحة في الاصطلاح كما يقولون. محاولة وضع معلومة في بطاقة من أجل حفظها دون أن تفهمها أولا هو أول وأكبر خطأ يرتكبه مستعملوا البرنامج.

أحيانا أقرأ المعلومة من كتاب أو مقال، ثم أصوغها بطريقة مخالفة تماما تتناسب مع وجهة نظري أو ما فهمته من تلك الفقرة.

التزم بقاعدة المعلومة الواحدة

وهذه ربما أهم نصيحة عن صناعة بطاقات أنكي. لا تحشر أكثر من معلومة واحدة في كل بطاقة. السبب هو أن العبء الذهني لكل بطاقة يجب أن يكون أخف ما يكون..

هنا قد ينتقد البعض تقنية التكرار المتباعد لكونها ستحول المعرفة إلى حبيبات منفصلة، ولكن الفكرة منطقية جدا! مثلا: إن ضغطت على زر تشغيل الحاسوب ووجدته لا يقوم، ستبدأ بمحاولة تشخيص المشكلة. بداية: ستتأكد أن الكهرباء تعمل بالمنزل، ثم تتأكد من الكهرباء في الغرفة، ثم تتحقق من السلك الموصل للكهرباء، ثم ربما المقبس فيه مشكلة، ثم ربما أحد مكونات الحاسوب الصلبة فيها مشكلة، ثم ربما المكونات البرمجية فيها مشكلة.. لنقل إنك توصلت إلى أن المشكلة في مكونات الحاسوب الصلبة، حينها ستتحقق من أكثر من مكون لتعرف السبب بالتحديد.

أي إنك ستختبر كل شيء في الحاسوب وحده حتى تصل لمصدر المشكلة. كذلك الأمر.. إن البطاقات يجب أن تختبر قطعة صغيرة منفصلة من المعرفة.. حتى يتمكن أنكي من تحديد النقاط التي نسيتها بالتحديد وعدم إثقالك ببطاقات صعبة..

دعني أشرح لك مثالا لبطاقات سيئة وجيدة:

  • س: كيف تختار الوصفة الطبية للعلاج الهرموني التعويضي Hormone replacement therapy؟
  • ج:
    • للنساء بدون رحم: يُعطى الإستروجين وحده، إلا في حال وجود تاريخ سابق للإصابة بببطانة الرحم المهاجرة Endometroisis (قد تبقى بؤر بطانة الرحم حتى بعد استئصال الرحم، لذا يُنصح بإضافة بروجستيرون).
    • للنساء ذوات الرحم السليم، يُنصح باستخدام البروجستيرون خلال آخر 12-14 يومًا من الدورة الشهرية أو استخدام اللولب الهرموني داخل الرحم (IUS) لمنع تكاثر بطانة الرحم. كبديل: يمكن باستخدام مستحضر إستروجين/بروجستيرون مستمر (ليس في فترة ما قبل انقطاع الطمث أو أقل من 12 شهرًا بعد آخر دورة شهرية).

هذه البطاقة ليست جيدة، لأنها تحشر الكثير من المعلومات في سؤال واحد. هذا يجعل العبء الذهني المطلوب لمراجعتها ثقيلا جدا، مما يجعلك معرضا لنسيانها كثيرا. أضف لهذا: ماذا لو أجبت بعض المعلومات ونسيت بعضها، هل تقيم نفسك على أن الإجابة «صح» أم «خطأ»؟ إن اخترت «صح» فأنت تخليت عن المعلومات التي لم تذكرها، وإن اخترت «خطأ» فأنت تعيد تعلم البطاقة مرات عديدة وتضيع الكثير من وقتك.

وهذا الخطأ كان أهم الأسباب في تركي لأنكي منذ أربع أعوام، إذ عندما نظرت لعينة من بطاقاتي القديمة التي صنعتها وجدت أني كنت أحشر الكثير من المعلومات الجديدة علي في بطاقة واحدة، مما جعل أنكي غير فعال في مذاكرتي، فهذا الخطأ مهلك؛ تجنبه قدر المستطاع.

إذا تعال نقسم البطاقة:

  • س: ما أهم متغير الذي يحدد الوصفة الطبية للعلاج الهرموني التعويضي؟
  • ج: وجود الرحم أو عدم وجوده.
  • س: ما الوصفة الفموية للعلاج الهرموني التعويضي لأغلب النساء؟
  • ج: إستروجين + بروجستيرون خلال آخر 12-14 يوما من الدورة الشهرية.
  • س: ما دور البروجستيرون في العلاج الهرموني التعويضي للنساء اللائي ذوات الرحم؟
  • ج: منع سرطان الرحم.
  • س: ما العلاج غير الفموي للعلاج الهرموني التعويضي لأغلب النساء؟
  • ج: اللولب الهرموني داخل الرحم.
  • س: ما وصفة العلاج الهرموني التعويضي للنساء اللائي أزلن الرحم جراحيا؟
  • ج: الإستروجين وحده (لعدم وجود خطر سرطان الرحم)، إلا في حالة وجود بطانة الرحم المهاجرة.
  • س: متى يمنع استخدام مستحضر إستروجين/بروجستيرون مستمر كبديل عن البروجستيرون المتقطع؟
  • ج: في فترة ما قبل انقطاع الطمث أو أقل من 12 شهرًا بعد آخر دورة شهرية.

هكذا صارت كل بطاقة خفيفة وسهلة التذكر، كما صار في الإمكان اختبار نفسي في كل معلومة بشكل منفصل حتى أعلم نقاط ضعفي بالتحديد.

أسئلة إكمال الفراغ صديقتك إن وجدت صعوبة في الالتزام بقاعدة المعلومة الواحدة

إن وجدت نفسك مرارا وتكرارا تحشو بطاقتك بالكثير من المعلومات فربما تساعدك أسئلة إكمال الفراغ Cloze على إجبارك على الالتزام بتلك القاعدة. مثال:

  • س: يغلق اليافوخ الأمامي بعد ........ (عمر الطفل بالشهور)
  • ج: من 6 أشهر إلى 18 شهرا.

أسئلة إكمال الفراغ تشجعك أو تساعدك على أن تكون البطاقة جيدة وتسألك عن معلومة واحدة بالتحديد. استخدمها بكثرة إذا كنت مبتدئا.

اجعل إجابة واحدة مسموحة

من السهل الوقوع في فخ الأمثلة أو الأسئلة التي لها أكثر من إجابة واحدة مسموحة. من أمثلة ذلك:

  • س: في حالة الشكوى من ألم عضلات، اسأل عن .........
  • ج: تعاطي أدوية زيادة الكوليستيرول في الدم (الستاتينات تسبب التهاب العضلات)

هذا السؤال يسأل عن معلومة واحدة، ولكن عيبه أنه يسمح بإجابات عديدة. إن أتى أثناء المراجعة على الأرجح سأحتار ولن أعلم ما الإجابة المطلوبة بالتحديد. يمكن جعل البطاقة كالتالي:

  • س: ما أكثر الأدوية التي تسبب التهاب التهاب العضلات شيوعا؟
  • ج: الستاتينات

هكذا ضمنت أن أستفيد من المعلومة وفي ذات الوقت أن تكون معلومة واحدة فقط مسموحة.

تجنب التعدادات والمجموعات قدر ما تستطيع

الأسئلة التي تسألك تعداد قائمة معينة عادة ما تكون معقدة وصعبة وتستهلك الكثير من وقتك.

قبل أن تصنع بطاقة تسألك أن تعدد قائمة اسأل نفسك هل هي مفيدة؟ من السهل الوقوع في فخ أن بطاقات التعداد مفيدة، ولكنها في الحقيقة ليست كذلك. مثلا: إن حفظت جميع مكونات محرك الاحتراق الداخلي بالترتيب وقدرت على تعدادها أمام شخص ما فقد يعطي ذلك إيحاء وهميا أنك على معرفة وفهم جيدين للمحرك، رغم أن كل ما صنعته هو حفظ أسماء المكونات!

لهذا لا فائدة من حفظ قائمة إن لم تفهم كل عنصر لوحده! تذكر هذه الحقيقة قبل صناعة بطاقة تسألك عن تعداد. جرب حفظ كل عنصر لوحده. من أمثلة ذلك:

  • س: ما العلامات الموجودة غالبا في مريض انخفاض درجة الحرارة الشديد؟
  • ج:
    1. التنفس: بطيء وضحل
    2. النبض: ضعيف وغير منتظم
    3. العضلات: متيبسة
    4. فقدان الوعي

البطاقة تسألني عن العلامات التي أجدها في الفحص، ولكنها ستصير بطاقة صعبة للغاية لأنها تسألني عن أكثر من عنصر واحد. يمكنني تقسيم البطاقة كالتالي:

  • س: كيف يكون التنفس في مريض انخفاض درجة الحرارة الشديد؟
  • ج: بطيئا وضحلا.
  • س: كيف يكون النبض في مريض انخفاض درجة الحرارة الشديد؟
  • ج: ضعيفا وغير منتظم.
  • س: كيف تكون العضلات في مريض انخفاض درجة الحرارة الشديد؟
  • ج: متيبسة.

بهذا ضمنت أن أستفيد من البطاقة أكثر. لاحظ أني تخليت عن العنصر الرابع لأنه يبدو بديهيا أو أو ليس مهما بالنسبة لي أن أحفظه. قد يبدو لوهلة أن ثلاث بطاقات سترهقني أكثر من بطاقة واحدة، ولكن العكس هو الصحيح، فالبطاقات الكثيرة ستكون سهلة ولن أخطئ فيها كثيرا وستوفر وقتي عوضا عن استهلاك وقت أكثر في بطاقة واحدة كبيرة.

البطاقات الأكثر ستوفر وقتك أكثر من بطاقات أقل محشوة بالكثير من المعلومات

يمكنك أيضا تقسيم البطاقة حسب الفئات. مثلا: إن كنت تريد حفظ الدول التي يمر بها خط الاستواء فقد يكون دمجها في بطاقة واحدة صعبا. من الأسهل أن تقسم البطاقة إلى أكثر من بطاقة تسألك عن الدول الإفريقية التي يمر بها خط الاستواء، ثم الدول الآسيوية، وهلم جرا.. حتى تصير كل بطاقة أسهل.

إن كان لا بد ولا مفر أن تحفظ مجموعة في بطاقة وكنت متأكدا من أن البطاقة مفيدة فعليك — على الأقل — أن تذكر العناصر بالترتيب كل مرة تراجع فيها البطاقة، حتى يسلك دماغك نفس الترتيب ونفس المسار في كل مراجعة.

من الحلول الأخرى لتسهيل بطاقات التعدادات هي أن تصنع بطاقات كثيرة تسألك عن العنصر الناقص. مثلا:

  • س: ما دول أمريكا الجنوبية التي يمر بها خط الاستواء؟
  • ج: كولمبيا والبرازيل والإكوادور

يمكن تقسيمها كالتالي:

  • س: خط الاستواء يمر بدول في أمريكا الجنوبية هي كولمبيا والبرازيل و.....
  • ج: الإكوادور
  • س: خط الاستواء يمر بدول في أمريكا الجنوبية هي كولمبيا و..... والإكوادور
  • ج: البرازيل
  • س: خط الاستواء يمر بدول في أمريكا الجنوبية هي ..... والبرازيل والإكوادور
  • ج: كولمبيا

هذا يعد حلا عاما لبطاقات التعدادات. استخدمه إن وجدت أن قائمة ما يصعب حفظها كبطاقة واحدة.

تجنب التعدادات إن أمكن واسأل هل من المفيد حفظها قبل صناعتها.

استخدم حيل الذاكرة لتخفيف عبء البطاقات الثقيلة التي لا تريد تقسيمها

بعض البطاقات ربما لا تريد تقسيمها، وقد واجهت تحديا مشابها عندما حاولت حفظ بطاقة مثل هذه:

بطاقة خوارزمية ويلز

هذه البطاقة تسألني عن خوارزمية Wells في تشخيص الخثار الوريدي العميق Deep vein thrombosis. كنت أريد حفظ الخوارزمية ولم أحب أن أخزنها في ورقة خارجية لكثرة ما سأستعملها، ولكن في ذات الوقت لا أريد تقسيم هذه البطاقة إلى أكثر من بطاقة (أريد أن أكون قادرا على استحضار جميع العناصر فورا)، أريد أن أحفظها وحدة واحدة، فما العمل؟

قررت استعمال تقنية قصر الذاكرة (Memory Palace) لحفظ الخوارزمية. نسجت قصة تذكرني بكل عنصر في الخوارزمية. قلت: ركبت السيارة، ومررت بمعهد الأورام (هذه تذكرني بأول نقطة Active Cancer)، عندما مررت بالمعهد توقفت السيارة فجأة كأنها شلت! (هذه تذكرني بالنقطة الثانية Immobilization)، هذا جعل الرجل الذي بجانبي يطير من السيارة ويصير طريح الأرض (هذه تذكرني بثالث نقطة Bedridden)، وهلم جرا؛ كل حدث في القصة يذكرني بعنصر في الخوارزمية.

الفكرة أن القصة سهلة التذكر، أما عناصر الخوارزمية فصعبة، ومن هنا أتت تقنية قصر الذاكرة، حيث ينسج المتعلم قصة خيالية تذكره بكل عنصر في ما يريد تعلمه. في حالتي، كنت أضغط «جيد» إذا تمكنت من تذكر القصة كاملة واسترجاع جميع نقاط الخوارزمية. وهذه نقطة أختلف فيها مع نيلسن، إذ يقلل من أهمية حيل الذاكرة، وأنا أراها مفيدة لتبسيط عبء بعض بطاقاتي.

فاستعمل حيل الذاكرة (مثل حيلة قصر الذاكرة) في حفظ المعلومات التي لا تريد تقسيمها، وانتبه إلى أن حيلة قصر الذاكرة لم تجعل العبء ذريا مثل باقي البطاقات، لكنها خففته كثيرا، فلا تفرط استعمال هذه الحيل واستعملها لما تريد حفظه للضرورة فقط، فإن لم تكن تلك البطاقة بالغة الأهمية استعن بالذاكرة الخارجية كما وضحت لك من قبل في مثال استبيان PHQ-9.

استخدم الصور في البطاقات

عادة ما أكثر من الصور في بطاقاتي، بل أحيانا يكون السؤال هو الصورة، مثلا: ربما أسأل «كيف يكون منظر مرض كذا؟» فتكون إجابتي صحيحة إن كانت الصورة المتخيلة في دماغي مطابقة للصورة الموجودة في الإجابة. الصور تعينك على الاستمتاع أكثر بالمراجعة وبناء ذاكرة بصرية قوية.

تجنب الرزم الجاهزة وتجنب مشاركة رزمك

توجد الكثير من رزم أنكي الجاهزة، لكني لا أرشح استعمالها. إعمالا لمبدأ «لا تحفظ ما لا تفهم»، فإن صياغتك لبطاقاتك بنفسك وبأسلوبك خطوة مهمة في التعلم. استخدام رزم جاهزة ربما يفيد في التحضير لامتحان معين مثل USMLE، فيجمع أحدهم أسئلة متكررة في رزمة، لكن الرزم الجاهزة ليست مفيدة كأداة تعلم.

خطوة صناعة البطاقات قد تبدو غير ضرورية، لكنها أكثر من ضرورية. إن كنت في عجلة من أمرك يمكنك استخدام رزمة جاهزة أثناء مذاكرتك للموضوع من نفس المصدر، ولكن ليس أن تستخدم الرزمة الجاهزة نفسها للتعلم بشكل منفصل.

كما لا تشارك رزمك. مشاركة رزمك يعني أنك ستصوغها بأسلوب كأن شخصا آخر سيقرؤها ويراجعها، مما يجعلها غير متكيفة بالكامل مع ما تتعلمه أنت. فلا تضع مشاركة الرزمة في الحسبان، واصنع البطاقات لنفسك واجعلها سرا لك.

ادمج بين الرزم التي لا اختلاف بين إعداداتها

ينصح نيلسن بألا تقسم بطاقاتك إلى رزم، وأن تستخدم رزمة واحدة كبيرة لكل شيء. أتفق معه جزئيا، فعندما أذاكر وأراجع بطاقة من الطب ثم بطاقة من المقالات ثم بطاقة من الأدعية ثم بطاقة أخرى من الطب يتعرض دماغي لتحفيز ذهني يؤدي إلى تثبيت المعلومات جيدا في كل المجالات.

التداخل في المذاكرة
التداخل بين المواضيع أثناء المذاكرة يضعف الأداء أثناء الممارسة، ولكنه يقوي الأداء أثناء الامتحان. المصدر: Improving Students’ Learning With Effective Learning Techniques.

السبب وراء كون التنويع والتداخل بين المواضيع يقوي عملية التعلم هو أن التداخل يسبب صعوبة إضافية للمتعلم. كما قلنا مرارا: إن المخ يثبت المعلومة لفترة أطول إذا بذل جهدا في استعادتها، وبالتالي إذا تنقل بين المواضيع سيبذل جهدا أكبر، مما يجعله يثبت تلك المعلومات لفترة أطول. كما أن التنويع بين البطاقات يعرضك لعشوائية مشابهة للعشوائية التي تقابلها في الحياة الحقيقية.

ولكن.. تقسيم البطاقات مفيد أيضا عندما توجد إعدادات معينة لكل نوع بطاقات. مثلا: إعداداتي لرزمة القرآن مختلفة عن إعداداتي لرزمة الطب مختلفة عن إعداداتي لرزمة الكتب.. بهذا إن دمج كل هذا في رزمة واحدة سيقيد من قدرتي على تغيير الإعدادات (ربما أكتب لكم مقالا لاحقا عن الإعدادات المفيد تغييرها للرزم، لأن إعدادات أنكي الافتراضية ليست أفضل شيء).

فإذا كنا نريد التنويع في المراجعة وفي ذات الوقت نريد التنظيم وتقسيم البطاقات في رزم يمكن صنع التالي: اصنع رزمة أساسية ولنسمِّها «أم الرزم»، وتحت أم الرزم سنصنع رزما فرعية، رزمة للطب ورزمة للقرآن ورزمة للكتب.

بهذا يمكننا تغيير إعدادات كل رزمة على حدة، وفي ذات الوقت يمكننا مراجعة كل الرزم مختلطات معا عن طريق مراجعة «أم الرزم».

في مقالي عن الرزم المفلترة شرحت طريقة أخرى للخلط بين الرزم دون وجود رزمة أم.

راجع وأضف بطاقات جديدة كل يوم

أنكي يجب أن يكون عادة يومية لك. إن تركته ولم تراجع أو إن لم تضف بطاقات جديدة يوميا فاستفادتك منه ستكون شبه معدومة.

طبق ما تتعلمه

لا تكتف بالتعلم النظري. التعلم العملي يفيد في تثبيت المعلومة وإيجاد أفكار لم تكن تدركها. إن كنت طبيبا، يمكنك التدريب بحضور العيادات ومقابلة المرضي، ولكن هذه ليست الطريقة الوحيدة؛ إذ يمكنك تطبيق ما تتعلم عن طريق حل أسئلة سيناريوهات حالات Case scenario، فتطبق ما تتعلمه على حالات خيالية. النزول الحقيقي حتما له فوائده الحصرية التي لا تعوض، لكنه ليس الطريق الوحيد.

بعد التطبيق أكتشف ثغرات في فهمي لموضوع ما كنت أظن أني فهمته جيدا. حينها أضيف بطاقات عما تعلمته حتى لا أنسى تلك الثغرات.

أقصر التقييم على الزرين «جيد» و«مجددا» فحسب.

لا تستخدم الزر «صعب» والزر «سهل» إذا كنت مبتدئا. اقصر استعمالك على زرين: «جيد» و«مجددا». إما نجحت وإما فشلت. إما أصبت الإجابة وإما أخطأت الإجابة أو نسيتها. إما أبيض وإما أسود.

تقييم البطاقة
أقصر استعمالك على الزر «جيد» إذا كانت إجابتك صحيحة، أو «مجددا» إذا كانت إجابتك خاطئة.

السبب أن الكثيرون يسيئون فهم الزر «صعب» ويكثرون استعماله في غير موضعه، فيظنون أنهم يمكنهم الضغط على «صعب» إذا لم يتمكنوا من الإجابة، فيستعملونه على أنه زر الفشل بدلا من الزر «مجددا». عندما تضغط على الزر «صعب» سيعتقد أنكي أنك أجبت الإجابة الصحيحة، ولكنك بذلت مجهودا ذهنيا كبيرا أو وقتا طويلا حتى تصل للإجابة. هذا لا يتفق مع نظرة المبتدئين لهذا الزر.

الزر «سهل» واضح ولا يساء استخدامه كثيرا، ولكنه مجهود ذهني ضائع أن تحتار بين «جيد» و«سهل»، فلماذا الوقت والمجهود الضائع؟ إني الآن وبعد الانتظام على أنكي بضعة أشهر عدت أدراجي وألغيت الزرين «صعب» و«سهل» تماما من تقييمي، ولاحظت أن هذا وفر علي وقتا ومجهودا كبيرا، إذ أقرر التقييم بسرعة بعد أن كنت أحتار في التقييم، كما صارت الخوارزمية أكثر دقة معي.

لهذا أنصحك بالاقتصار على الزرين «جيد» و«مجددا»، سواء كنت مبتدئا أم محترفا، وترك باقي الأزرار.

اصنع أكثر من بطاقة عن نفس المعلومة إن لزم الأمر

أحيانا أحتاج إلى أكثر من بطاقة عن نفس المعلومة، حتى أتأكد من مقدرتي الربط بين شيئين في الاتجاهين. أشهر مثال على ذلك هو تعلم اللغة. لنقل أنك قرأت كلمة جديدة وهي Rebut في إحدى الكتب أو المقالات وعرفت أنها بمعنى «دحض» أو «فند». الآن تريد إضافة بطاقة عن تلك الكلمة الجديدة في رزمتك حتى لا تنساها، ربما ستكتب:

  • س: ما معنى الفعل Rebut؟
  • ج: يدحض

بطاقة جيدة، ولكن بها عيبا واحدا. إذا قرأت كلمة Rebut فيما بعد في أي مقال أو كتاب ستذكر معناها وستفهم الجملة، مما سيجعلك تستفيد من البطاقة، ولكن ليس من الضروري أنك إذا أردت استعمال كلمة «يدحض» في مقال تكتبه ستذكر كلمة «Rebut». ربما ستذكرها، ولكن الأمر ليس مضمونا. حينها يمكنك إضافة بطاقة جديدة:

  • س: ما ترجمة يدحض؟
  • ج: Rebut

حينها تضمن أن تتذكر المعلومة في الاتجاهين. افعل ذلك عندما تشعر تذكر المعلومة مهم في الاتجاهين. من أمثلة استخدامي لأكثر من بطاقة في الطب أن يقال لي

اختبار FIT يستخدم في الفحص كل عامين لكبار السن للاكتشاف المبكر لسرطان القولون في المملكة المتحدة.

حينها يمكن أن أضيف بطاقتين عن نفس المعلومة لأني أرى تذكرها من أكثر من ناحية مهما:

  • س: ما الاختبار المستخدم في الاكتشاف المبكر لسرطان القولون في كبار السن في المملكة المتحدة؟
  • ج: اختبار FIT.
  • س: ما اختبار FIT؟
  • ج: اختبار يستخدم في الاكتشاف المبكر لسرطان القولون في كبار السن في المملكة المتحدة.

أكرر: فعل ذلك لكل المعلومات سيغرقك بالكثير من البطاقات، أكثر مما تستطيع مراجعته، فلا تفعل ذلك إلا عندما تشعر تذكر المعلومة مهم في الاتجاهين.

لاحظ أن كثيرا من هذه النصائح لن تفهمها إلا بعد الانتظام في استعمال أنكي، لهذا أنصحك بتنزيل البرنامج وبدء الانتظام في استعماله، وارتكاب بعض الأخطاء وصناعة بطاقات ليست مثالية، ثم العودة لهذا الجزء في المقال وإعادة قراءته حيث ستفهم ما أقوله أكثر.

استخدام أنكي في حفظ القرآن الكريم

فيما يتعلق بهذه الجزئية باستخدام أنكي في حفظ القرآن الكريم فأنا لست متأكدا من فعالية الطريقة. حاليا أجرب طريقة أخرى حيث أضع كل سكتة (أو كل آية) في بطاقة منفصلة وأحفظها منفصلة. لا زلت أجرب الطريقة الجديدة، وبعد أن أكتسب خبرة كافية سأعطيكم مقارنة بين الطريقتين وأقترح عليكم الطريقة الأفضل —في رأيي— لاستخدام أنكي في حفظ القرآن الكريم. إلى ذلك الحين يمكنك تجربة الطريقة المذكورة أدناه كاقتراح ليس مبنيا على خبرة طويلة، أو تجربة طريقتك بنفسك.

استخدام أنكي في حفظ القرآن سهل.. كل ما تحتاجه أن تصنع بطاقة تطلب منك تسميع سورة أو صفحة من القرآن.. ستسمع السورة لنفسك، ربما عبر التسميع ثم النظر للآيات، أو ربما عبر التسميع ثم سماع الآية من مرتل. بعد ذلك، ستقيم نفسك؛ ستخبر أنكي بجودة تسميعك للسورة. إن سمعتها جيدا، ستضغط «جيد»، وإن أخطأت كثيرا ستضغط «مجددا»، ثم سيجدول لك أنكي الأيام التي تحتاج فيها لمراجعة السورة..

أنكي لا يستخدم لحفظ صفحات جديدة، بل لمراجعة صفحات حفظتها سابقا. بعد حفظ الآيات جيدا، ضع بطاقة على أنكي تطلب منك تسميع الآيات، ثم قيم تسميعك في كل مرة يأتي أنكي بتلك البطاقة. ما يعني: لن تضع البطاقة على أنكي قبل حفظها، بل بعد حفظها. ذلك لأن هذا الاستخدام ليس هو الاستخدام العادي لأنكي، ففي العادة تتضمن البطاقة معلومة واحدة قصيرة، أما أنت هنا تقيم تسميع مجموعة آيات، وهذا ما ليس معتادا على أنكي. إن أخبرت أنكي أنك أخطأت في التسميع أول مرة كثيرا (وهذا المعتاد في التسميع الجديد لصفحة تحفظها أول مرة)، سيعتبرها أنكي بطاقة مستعصية Leech، وسيوقفها (سييأس من أن تحفظها)، لهذا نحن نضع البطاقة بعد حفظ البطاقة وليس قبل حفظها.

سؤال عن سورة الجمعةتقييم تسميع سورة الجمعة

ليس بالضرورة أن أترك خانة الإجابة فارغة كما بالصورة السابقة، بل أحيانا أضيف ملاحظات عن أخطائي السابقة، بحيث إن ارتكبت نفس الأخطاء أعلم أن هذه الأخطاء ليست صدفة وأني أرتكب نفس الأخطاء كل مرة تسميع.

لاحظ أنك في القرآن لن تضيف بطاقات جديدة بنفس معدل باقي الرزم. في الطب أضف نحو 30 أو 40 بطاقة يوميا، بينما في القرآن أضيف بطاقة كل يومين أو ثلاثة. السبب هو أن البطاقة الواحدة في القرآن تطلب مني تسميع صفحة كاملة، وليس تذكر معلومة قصيرة كما هو الحال مع رزمة الطب، ولهذا فالمعدل مختلف.

الأمر بسيط، ولكني سأخبرك ببعض النصائح حتى تجيد استعمال أنكي في حفظ القرآن ولا تقع في بعض الأخطاء التي وقعت أنا بها:

لا تحفظ ما لا تفهم

مثل النصيحة التي أخبرتك بها بالأعلى.. لا تحفظ آيات دون أن تعلم تفسيرها ومعاني كلماتها. معرفة التفسير ستعينك على حفظ الآيات بفعالية أكبر..

اجعل البطاقات متقاطعة مع البطاقات الأخرى في نطاقاتها

وهذه نقطة مهمة جدا. لنفترض أنك صنعت بطاقة تطلب منك تسميع سورة البقرة من الآية 1 إلى 7، وبطاقة أخرى تطلب منك التسميع من الآية 8 إلى الآية 13.. للوهلة الأولى لا يبدو وجود خلل..

ولكن في الحقيقة دماغك صار لا يربط بين الآية 7 والآية 8، لأنهما في بطاقتين منفصلتين، فعندما تسمع السورة كاملة ستعلق أو تتوقف عند الآية 7 ولا تدري ما يأتي بعدها..

لهذا فإذا كانت البطاقة أ مثلا تطلب منك تسميع سورة البقرة من الآية 1 إلى الآية 7، على البطاقة ب أن تطلب منك التسميع من الآية 6 إلى الآية 13، وعلى البطاقة ج أن تطلب منك من الآية 12 إلى الآية 17، وهلم جرا. هذا التداخل بين نطاقات البطاقات يفيدك عندما تريد تسميع السورة كاملة، فلا تعلق أو تتوقف عند أطراف البطاقات التي كنت تسمعها.

اصنع بطاقات عن أخطائك أثناء المراجعة إن لزم

عندما كنت أسمع سورة النازعات، سمعتها جيدا، إلا أول خمس آيات ﴿وَالنَّازِعَاتِ غَرْقًا. وَالنَّاشِطَاتِ نَشْطًا. وَالسَّابِحَاتِ سَبْحًا. فَالسَّابِقَاتِ سَبْقًا. فَالْمُدَبِّرَاتِ أَمْرًا﴾ أخطأت في تسميعهن. ماذا أفعل، هل أقول لأنكي أخطأت وأعيد جدولة السورة كاملة، أم أقول له أحسنت وأتخلى عن هذا الخطأ؟

قررت أن أضغط «جيد»، ثم صنعت بطاقة منفصلة تطلب مني تسميع الآيات العشرة الأولى من السورة (الغرض من عشرة بدلا من خمسة هو التقاطع السابق الذي ذكرناه). بهذه الطريقة، ضمنت أن تتجدول السورة كاملة على أني سمعتها جيدا، إلا أول الآيات أن تتجدول كأني لم أحفظها وأحتاج إلى ممارستها من جديد.

ليس بالضرورة أن أصنع بطاقة تطلب تسميع أكثر من آية. أحيانا أخطئ في آية واحدة في التسميع، فأضع بطاقة إكمال الفراغ تسألني عن تسميع تلك الآية بالذات دون غيرها.

اجعل كل بطاقة صغيرة نسبيا، أصغر من ربع واحد

نظرا لأن القرآن مقسم إلى أرباع، ظننت أن يكون الربع الواحد كمية مناسبة لتكون في بطاقة. حفظت سورة البقرة عن طريق وضع كل ربع في بطاقة واحدة. اكتشفت خطأ هذا الاعتقاد لاحقا. الربع الواحد يعني نحو صفحتين ونصف، أحيانا يكون أكثر أو أقل. التزاما بمبدأ «اجعل عبء كل بطاقة أخف ما يكون» فإن وضع ربع كامل —بالذات إن كنت تحفظ القرآن جديدا— عبء أكثر من ثقيل. يفضل وضع صفحة واحدة (بالكثير: صفحة ونصف إن كنت تحفظها مسبقا جيدا) في كل بطاقة. أنصحك ألا تحمل كل بطاقة أكثر من نصف صفحة جديدة.

استخدام أنكي في قراءة مقال في مجال غير مألوف

نظرا لأني لم أجرب أنكي حتى هذه اللحظة في هذا الاستخدام، فإني سأنقل لكم تجربة مايكل نيلسن من مقاله الأصلي ولكن محاولا الاختصار ومستخدما ألفاظي..

في عام 2016 حدث شيء ثوري في عالم الذكاء الصناعي حيث تمكنت شركة Deepmind من تطوير ذكاء صناعي من شبكة عصبونية عميقة، قادر على لعب لعبة Go الصينية، وسمته AlphaGo، ثم تمكن هذا الذكاء الصناعي من الفوز على أبطال العالم البشريين في هذه اللعبة. صدرت ورقة بحثية توضح التفاصيل التقنية لهذا الذكاء الصناعي وتطويره..

ولأن الحدث صار مشهورا وقد تناولته جميع وسائل الإعلام في الصحافة الغربية على أنه ثورة في عالم الذكاء الصناعي، قرر مايكل نيلسن قراءة البحث. ولكن ثم مشكلة؛ هذا البحث في مجال غير مألوف له نسبيا، وبالتالي قراءة هذه الورقة سيكون صعبا جدا..

لاحظ أن الذكاء الصناعي لم يكن موضوعا غير مألوف تماما لمايكل نيلسن، فهو أصلا قد ألف كتابا عن الشبكات العصبونية العميقة، وبالتالي فإن تطبيق هذه الشبكات العصبونية في هذا المجال بالذات (Deep reinforcement learning) هو المجال غير المألوف، أما الورقة فلها علاقة بدراسة مايكل نيلسن ومجال عمله، وهو لم يبدأ من الصفر..

قرر نيلسن استعمال أنكي في قراءة الورقة كالتالي:

  • بدأ نيلسن بفتح الورقة والنظر في الصور، وقراءة المفاهيم الأساسية، وقراءة الورقة قراءة سطحية (قراءة قاشدة Skimming)، ويتعلم منها أفكارا أساسية ومصطلحات، وربما يستعين بالنت في فهم بعض الأفكار..
  • وحتى لا ينسى ما يتعلمه من تلك القراءات السطحية، بدأ بصناعة بطاقات على برنامج أنكي عن تلك المفاهيم الأساسية التي فهمها.
  • أجرى نيلسن هذه القراءات السطحية وصناعة البطاقات نحو 5 أو 6 مرات.
  • بعد ذلك، قرأ البحث قراءة عميقة من بدايته إلى نهايته، وقرأه بتمعن مرة ثانية، وأضاف البطاقات الأخيرة عن البحث..

استغرق الأمر نحو بضع أيام موزعين على أسبوعين حتى يفهم البحث بالكامل، رغم أنه كان سيستغرق وقتا أطول بكثير بدون أنكي. تمكن بعد فهمه للبحث أن يكتب مقالا عن هذا الحدث وأن يستعين بما تعلمه من أنكي. ونظرا لأن المعرفة التي تعلمها علقت بذهنه، صارت قراءة أي بحث مشابه في هذا المجال أمرا في غاية السهولة!

لماذا يفيد التداخل بين المواضيع أثناء مراجعة البطاقات؟
يضيف عبئا وصعوبة للمراجعة على الدماغ، مما يثبت المعلومات لفترة أطول
ما تقنية قصر الذاكرة؟
أن ينسج المتعلم قصة خيالية تذكره بكل عنصر يريد حفظه في قائمة.
لا فائدة من حفظ تعداد دون .....
فهم كل عنصر على حدة.
إن كان لا بد من حفظ قائمة علينا حفظ العناصر بـ......
بالترتيب
لماذا ينصح للمبتدئين بأن يقيموا إجاباتهم بالزرين «جيد» و«مجددا» فحسب؟
التقييم

لأن الزرين «صعب» و«سهل» يساء استعمالهما من المبتدئين.

ما الخطأ المهلك الذي جعل المؤلف يترك أنكي منذ أربعة أعوام؟
أنه كان يحشر الكثير من المعلومات الجديدة في بطاقة واحدة، مما جعل أنكي غير مجد بالنسبة له.
في حالة حفظ القرآن نحن نضع بطاقة تطلب تسميع ........
نحو نصف صفحة
لخص السببين الذين يجعلان أنكي غير شائع الاستخدام؟
  • سهولة إساءة استخدام أنكي وصعوبة إجادة استخدامه
  • المجهود اليومي في المراجعة، مما يتطلب حافزا داخليا للاستمرار

خاتمة

وفي نهاية المقال، أريد تذكيرك أن توفيقك يعود إلى الله، فاستعن به دائما، واستعذ بالله من العجز والكسل، وادع الله دائما أن يوفقك إلى ما يحب ويرضى، وأن يعينك على الالتزام بعادة التعلم والمذاكرة.. وتذكر أن ما ذكرته في هذا المقال أسباب، وأن الأخذ بها عبادة، وأن الاعتماد عليها كليا شرك..

كنت أعد وقت الفراغ نعمة، فإن أردت أن يزيدني الله من تلك النعمة علي أن أشكر الله عليها، إيمانا بوعد الله لنا ﴿... لَئِنْ شَكَرْتُمْ لَأَزِيدَنَّكُمْ ...﴾ [إبراهيم:7].. فكيف أشكر الله عليها؟ هل بقول «الحمد لله» فحسب؟ كلا بالطبع! بل بأن أقضي وقت الفراغ في عبادة الله والمذاكرة رغبة في رضا الله عني.. عندما أتكاسل أدعو الله قائلا ﴿رَبِّ أَوْزِعْنِي أَنْ أَشْكُرَ نِعْمَتَكَ الَّتِي أَنْعَمْتَ عَلَيَّ وَعَلَىٰ وَالِدَيَّ وَأَنْ أَعْمَلَ صَالِحًا تَرْضَاهُ وَأَدْخِلْنِي بِرَحْمَتِكَ فِي عِبَادِكَ الصَّالِحِينَ﴾ [النمل:19]. أوزعني: أي ألهمني وحرضني، ومعنى الدعاء أن يلهمني الله ويعينني على شكران نعمة وقت الفراغ الذي رزقني إياه، عن طريق استغلاله في مذاكرة الطب والقرآن وغيره من الأعمال المفيدة في وقت فراغي..

فادع الله دائما عندما تشعر بالكسل، واستعذ به من الشيطان الرجيم، واستعن به على الالتزام بعادة التكرار المتباعد..

كتاب الأسماء كلها

ولقد وجدت مصدرا عربيا ممتازا يشرح تقنيات التعلم وحيل الذاكرة واستراتيجية التكرار المتباعد، وهو كتاب «الأسماء كلها» لمؤلفه أبو حامد القطان. عرفت بداية عن وجود الكتاب عبر تلخيصه الذي كتبه «عبدو» على مدونته، ثم بدأت أبحث عن الكتاب ذاته.

لسوء الحظ، اختفى المؤلف من جميع وسائل التواصل، وصار رابط قناته على التيليجرام تالفا، كما صار رابط بيع الكتاب بصيغة pdf تالفا هو الآخر، ولم أجد أثرا للمؤلف أو كتابه في أي مكان..

إلى أن وجدت أحد مجموعات التليجرام التي لا زالت تعمل ووجدت «عبدو» قد نشر نسخة بصيغة pdf للكتاب اشتراها عندما كان متوفرا للبيع، كما يقول عبدو أن المؤلف اختفى فجأة بعد فترة قصيرة من تواصلهما، كما أن المؤلف أعاد لعبدو ثمن الكتاب بعد أيام من شرائه..

بحثت جيدا ولم أجد أثرا لبيع الكتاب من أي قناة بيع، سوى موقع Amazon الذي يباع فيه الكتاب بصيغة Kindle، ولكني أشك أن يكون ثمن الكتاب يصل فعلا لحساب المؤلف بعد هذا الاختفاء..

وأنا لا أدري أين المؤلف وما حاله اليوم، وأرجو الله أن يكون بخير، وقد أرسلت رسالة له عبر البريد الإلكتروني أستأذنه نشر الكتاب مجانا إذا كان ليس مهتما ببيعه، وحتى لا ينقطع كتابه عن النشر وينقطع هذا الميراث الفكري الجميل، قررت رفع الكتاب مجددا بصيغة pdf على موقعي هذا، حيث يمكنك تنزيل الكتاب من هذا الرابط. وإن علمت أن المؤلف لا زال يستفيد من مبيعات الكتاب في مكان ما، وأنه متضرر من أن ينشر هكذا مجانا، أو إذا رد على رسالتي على البريد الإلكتروني، سأحذفه فورا..

فإن صار التكرار المتباعد عادة في حياتك، فأهلا وسهلا بك في نادي عشاق العلم، الذين يرون التعلم منهاج الحياة، فهم مع الكتاب حتى يواريهم التراب..

استعن بالله تعالى، وابدأ رحلة التعلم طوال الحياة.. مع تحياتي..

مؤمن محمد عبد الستار

مراجع واستزادة

آخر تحديث: الخميس، 16 أبريل 2026